HashMap源码(五)—— 底层红黑树原理解析(新增)动图分析
满足红黑书结构原则:
- 每个节点只能是红色或者黑色
- 根节点都是黑色
- 不可能有连在一起的红色节点
- 每个红色节点的两个子节点都是黑色,叶子节点都是黑色
- 除了根节点,插入的时候每个节点都是红色
红黑树示例图:
HashMap底层为什么要用红黑树不用完全平衡二叉树(AVL数):
红黑树:黑色完美平衡,任意一个节点到每个叶子节点的路径都包含想通数量的黑色节点。
AVL树和红黑树有几点比较和区别:
- (1)AVL树是更加严格的平衡,因此可以提供更快的查找速度,一般读取查找密集型任务,适用AVL树。
- (2)红黑树更适合于插入修改密集型任务。
- (3)通常,AVL树的旋转比红黑树的旋转更加难以平衡和调试。
新增节点时红黑树旋转和颜色变换规则:

变色的情况:当前结点的父亲是红色,且他的祖父节点的另一个子节点(叔叔节点)也是红色:
- a、把父节点设置为黑色
- b、把叔叔节点也设置为黑色
- c、把父亲的父节点(祖父节点)设置为红色
- d、把指针定义到祖父节点设为当前要操作的节点,目的是为了平衡修改颜色其它节点不满足红黑树原则的情况(通过更改颜色或左旋右旋平衡,以此类推)
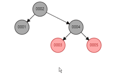
- 颜色变换示例 (给0005新增一个大于它的子节点):

旋转示例(新增节点、父节点、祖父节点同一条直线)
- a、以最短路径旋转(顺时针为右旋,逆时针为左旋)
- b、以父节点为旋转中心,旋转祖父节点
- c、父节点变成黑色,祖父节点变成红色
- d、当前操作节点为变成红色的祖父节点(递归他坐在的父节点是否满足红黑树原则)
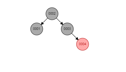
- 旋转示例(新增节点5,以父节点4为旋转中心旋转祖父节点,该示例为左旋操作)

旋转示例(新增节点、父节点、祖父节点同呈三角关系)
- a、以最短路径旋转(顺时针为右旋,逆时针为左旋)
- b、首先以新增节点为旋转中心,旋转父节点,使新增节点、父节点、祖父节点在同一条直线上
- c、然后再参考上面同一条直线的情况进行旋转(递归处理,以此类推)
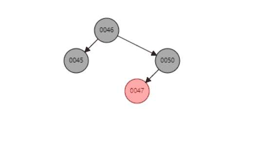
- 旋转示例:
- 新增节点48,以48为圆心旋转47节点——左旋
- 然后变成在同一条线上的情况,以48为圆心,旋转父节点50——右旋

红黑树详细变换图解

HashMap红黑树源码分析
treeify()方法介绍
之前有介绍到 treeifyBin(),将普通节点转化成树节点,
再根据treeify()方法转换成红黑书结构
1 | |
putTreeVal()方法
该方法是在HashMap进行put的时候,如果是树形结构的时候会调用putTreeVal方法
1 | |
HashMap源码(五)—— 底层红黑树原理解析(新增)动图分析
http://yoursite.com/post/ea028132.html/